铁甲工程机械网> 工程机械资讯> 行业 > 析锂 锂电池析锂原因解析及常见析锂界面汇总

析锂 锂电池析锂原因解析及常见析锂界面汇总

介绍不同温度、SOC和倍率对锂电池析锂产生的影响。其中内容主要以文献资料为主,笔者测试数据为辅进行阐述。

实验验证,体系:NCMAGEL(EC/DMC=1:1/1M LiPF,使用容量16Ah商业电池拆解重做成成小型三电极[2]

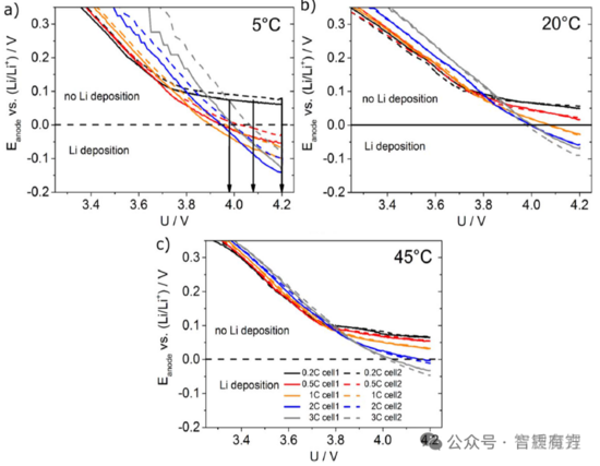
℃、20℃和45℃的温度下,使用0.2C0.5C1C2C3C倍率对三电池进行充电,并同步监控电池正极对锂电位和电池负极对锂电位的变化。

商业电池拆解重建三电极示意图如下:

1. 20℃温度下不同倍率监测正负极对锂电位

由上图可知,在充电过程中,电池电压逐渐增大,正负极表现为正极电极电位逐渐增大,而负极电极电位逐渐减小。当倍率≥1C时,阳极的电极电位减小至低于0V,为负电位。因恒电压CV过程不会影响阳极电极电位,上述所指的充电是指恒电流充电,即CC[3]

2. 阳极不同温度和倍率对锂电位变化

不同充电倍率:黑色0.2C,红色0.5C,橙色1C,蓝色2C,灰色3C

由上图可知:

1)随着温度升高,有利于缓解大倍率充电带来的电池析锂风险。如0.5C充电,在低温℃时,电池充电电压在4.0V时阳极对锂电位为负,即发生析锂,而在20℃时,电池充电至4.0V,阳极对锂电位为正,并未发生析锂。又如,1C充电时,20℃下电池充电电压至4.2V时,阳极电极电位为负,电池出现析锂,而在45℃下,电池充电至4.2V,阳极电位为正,未出现析锂。

2)~45℃温度下,电池在3.8V~4.2V电压下充电时,不同倍率下阳极对锂电位<0V,出现负电位,又因CV阶段对阳极电位的变化不会产生影响,可知,电池发生析锂现象出现在电池恒流充电阶段,即CC阶段。

3)电池充电电压升高,即SOC增大,阳极对锂电位减小。

2. 温度、倍率和SO对锂沉积模型

为温度对锂在负极内部扩散导致析锂的模型,对于给定的扩散势垒,当电池处在低温下时,阳极中锂扩散的动力学变慢,如下扩散动力学方程可说明。

上式(1)中,为扩散通量;为扩散系数;为玻尔兹曼常数;为扩散势垒,为环境温度。

由上式公式可知,锂在负极内部扩散的通量与扩散系数成正比,而扩散系数与活性材料本身有关,例如负极石墨的层间距越大越利于锂的扩散;扩散通量与扩散势垒成单调递减的关系,与温度成单调递增的关系。

在温度下,对应的扩散通量比值如下:

当扩散势垒给定为0.41eV[4]20℃,℃,可以计算得出当温度从20℃降低至℃时,锂在负极内部的扩散通量降低了0.43倍。

当然,要清楚的是,温度对电池析锂的影响不仅表现在锂在负极内部扩散受阻,同时也表现在Li在电解液中的迁移以及Li在负极表面得电子的电化学反应受阻。

为高SOC对锂在负极内部扩散导致析锂的模型。我们知道,锂嵌入石墨发生如下电化学反应,形成不同形式的碳锂化合物。

电池充电过程中,优先形成高阶碳锂化合物,随着充电SOC的增大,石墨层间嵌入的锂增多,逐渐形成低阶碳锂化合物,此说明形成高阶碳锂化合物的势垒更低。

20℃下,阶插层化合物LiC12的扩散势垒D10.308eV阶插层化合物LiC的扩散势垒D20.4eV[4]。根据式(1),锂从阶插层化合物转化至阶插层化合物,锂离子在负极的扩散通量比可通过下面公式计算。

由式上式计算可得,阶插层化合物的扩散通量将降低至阶插层化合物的0.026倍。对比温度从20℃降低至℃的影响值0.43倍,两者相差了一个数量级,由此可知,高SOC对锂沉积的影响更大。

3. 温度、倍率和SOC导致锂沉积的三种表现形式

常见析锂的三种表现形式[1]a)面析锂;b)局部析锂;c)边缘析锂边缘电流密度大

例如,低温、大倍率充电或者涂布过厚导致电池析锂,往往表现为面均匀析锂;又如,高温循环等,高温导致SEI膜破坏又重新形成,导致局部SEI膜不均匀,致使出现局部析锂。边缘析锂则源于边缘电流密度大,对于电池内部位置刚满足不析锂的情况下,则极片边缘出现析锂,比如低温 0.5C充电不析锂,而 0.5C充电析锂,则此时析锂往往表现为边缘析锂。

锂沉积的三种表现形式反映到循环过程中容量保持率曲线,如下。

)曲线说明循环过程中容量衰减是线性的,这意味着在每次循环中,都不可逆的消耗了相同数量的锂。在有锂沉积的情况下,出现此情况,一般是因为电池N/P比不足等导致的面析锂,每一次循环消耗的不可逆锂相同,致使出现线性衰减。

当然,这是在电解液充足的情况,若循环至后期,电解液消耗完,则会出现容量快速下降,曲线跳水的情况。

需要注意的是,未出现锂沉积的正常电池也可能出现此种容量线性衰减的曲线。

)曲线出现的情况一般是因为极化太大导致容量衰减曲线开始陡然下降,后趋于平缓。比如大倍率充放电的情况下,易出现此种衰减曲线。此时,若是出现锂沉积的情况,则表现为面的析锂。

如下为某客户型号,容量5000mAh,在25℃下1C充电,2C放电的容量保持率曲线(界面正常,未出现锂沉积)。

)曲线被观察到,当出现锂沉积时,一般是从局部不均匀区域开始,然后扩散至整个电池阳极,致使后期每次循环消耗的锂增大,出现加速衰减的情况。

当然,需要注意的是未出现锂沉积的正常电池当循环至后期电解液不足时,亦会出现容量加速衰减或出现跳水的曲线。

引用文献:

[1] Thomas Waldmann, Li plating as unwanted side reaction in commercial Li-ion cells - A review, J.Power Sources 384(2018)107-124

[2] T. Waldmann, Interplay of operational parameters on lithium deposition in lithium-ion cells: systematic measurements with reconstructed 3-electrode pouch full cells, J. Electrochem. Soc. 163 (2016) A1232–A1238

[3] T. Waldmann, Optimization of charging strategy by prevention of lithium deposition on anodes in high-energy lithium-ion batteries – electrochemical experiments, Electrochimica acta. 178, 525 (2015)

[4] K. Persson, Lithium diffusion in graphitic carbon, J. Phys. Chem. Lett. 1, 1176 (2010)

【免责声明】版权归原作者所有,本文仅用于技术分享与交流,非商业用途!对文中观点判断均保持中立,若您认为文中来源标注与事实不符,若有涉及版权等请告知,将及时修订删除,感谢关注!

-----------------------------------------------------------------

0、重磅 | 《新能源汽车动力电池包PACK设计课程从入门到精通40讲+免费分享篇》视频-2025年课程安排

持续更新:典型电池包案例分析(奥迪etron、捷豹I-pace、大众MEB、MODEL3、通用BOLT等):

为什么选择这套课程:

大家好,我是LEVIN老师,近10年专注新能源动力电池包PACK系统设计、电池包热管理设计及CFD仿真。

该课程是全网唯一系统层级的PACK设计教程,从零部件开发到结构设计校核一系列课程,重点关注零部件设计、热管理零部件开发、电气零部件选型等,让你从一个小白从零开始入门学习新能源电池包设计。

回馈新老新能源人,(新能源电池包技术)公众号特惠,为方便大家提升,限量50份半价出售全套《新能源电池包PACK设计入门到进阶30讲+免费能分享篇》、《Fluent新能源电池包PACK热管理仿真入门到进阶28讲+番外篇》视频课程,并送持续答疑!了解更多课程,加微信号详询:LEVIN_simu

说明:第5部分为免费分享篇,部分内容来源于网络公开资料收集和整理,不作为商业用途。

解决动力电池包MAP等效4C充电、热失控热抑制、恒功率AC/PTC滞环控制电路SOC模型设置教程;是目前市场上唯壹一套从PACK模型的简化到热模型建立和后处理评价标准的系统讲解。希望能帮助到大家。

了解更多《动力电池热管理系统设计》、《starccm+电池包热仿真课程》、《储能系统热管理设计与仿真课程》,

关注公众号:新能源电池包技术

或加右方微信号:LEVIN_simu



声明:本文系转载自互联网,请读者仅作参考,并自行核实相关内容。若对该稿件内容有任何疑问或质疑,请立即与铁甲网联系,本网将迅速给您回应并做处理,再次感谢您的阅读与关注。

相关文章
我要评论
表情
欢迎关注我们的公众微信